一、波束成形技术的崛起
当今世界正经历一场由5G、6G、Wi-Fi 7、物联网和卫星通信等技术驱动的数字海啸。高清视频流、在线协作、自动驾驶以及元宇宙概念无不依赖于瞬间、可靠的海量数据传输。然而,有限的频谱资源与几何级增长的数据需求使得传统无线通信方式无法满足用户通信需求。如何在不增加频谱带宽的前提下,大幅提升网络容量和效率,成为整个行业必须攻克的难题。
此外,传统的全向天线模式将宝贵的射频能量均匀地向四面八方扩散,这不仅浪费发射功率,且易造成信号间的相互干扰,辐射效率十分低下。这引出了一个核心问题:能否像手电筒聚光一样,将无线信号智能地、精准地指向特定的用户或设备?这种思路的转变,意味着无线通信需要从“广播”时代进入“聚焦”时代,实现信号在空间中的定向传输与接收,从而在提升目标信号强度的同时,最大限度地减少对其它方向的干扰。
波束成形(Beamforming)正是应对这一挑战的关键性解决方案。其核心思想是通过控制多个天线单元发射信号的相位,使这些信号在空间中特定点处产生建设性的干涉(同相信号叠加增强),而在其他点产生破坏性干涉(信号抵消减弱),从而形成一道能量集中、方向明确的定向波束。


当前,波束成形技术已广泛应用于无线通信、雷达与声纳以及太空探测、语音增强等诸多领域:
- 无线通信:在Wi-Fi(如Wi-Fi 4及以上标准)和5G等移动通信技术中,波束成形能改善信号质量、增加覆盖范围和吞吐量。
- 雷达与声纳:在雷达和声纳系统中,波束成形用于定向发送和接收信号,以准确探测目标或水下物体。
- 太空探测:波束成形能够精确控制卫星信号的覆盖区域,并随卫星的移动动态调整波束方向,以补偿卫星与地面接收设备之间相对位置的变化。
波束成形技术优势如下:
- 提高信噪比:增强接收信号的强度,同时降低噪声和干扰,从而提高接收器的信噪比。
- 提升数据吞吐量:能量集中定向发送信号,使得在特定方向上可以传输更多的数据。
- 增加传输距离:通过集中能量,可以在更远的距离上保持信号的有效性。
- 空间滤波功能:能够识别并抑制来自特定方向的干扰信号和噪声。
二、波束成形技术原理
在了解了波束成形的背景和技术优势后,大家可能会产生疑问:那么应该怎么才能实现波束成形呢?接下来,我将以均匀天线阵列(Uniform Linear Array, ULA)为例,讲述如何实现波束成形。
为了便于理解,假设均匀天线阵列和接收机处于远场通信场景,即天线发出信号以平面波形式向外辐射。定义均匀线阵相邻天线之间的距离为d,定义信号方向与天线阵列间的夹角为θ,若以第一个天线单元(标记为0)为零相位参考点,后面每个天线单元较参考天线单元而言存在nd,n=1,2,…,N-1的间距,而针对电磁波传输路径而言,从标记为1的天线往后,电磁波到达各天线时均存在ndsinθ,n=1,2,…,N-1的路程差。因此平面电磁波到达各天线时将存在不同的相位差,用阵列导向矢量可表示为:


在获得ULA的阵列导向矢量之后,核心问题就是如何通过对天线阵列各单元施加加权因子(幅度与相位),使得在期望方向上的信号得到相干叠加增强,而在非期望方向上的信号产生干涉和抑制减弱,从而实现定向波束指向或定向波束覆盖。
定义阵列加权向量为w = [w0, w1, … wN-1]T,将阵列导向矢量与加权向量进行点积,即可得到在该加权因子作用下的阵列响应(波束成形输出):

其中,WH表示加权向量的共轭转置。
此外,针对均匀平面阵列(Uniform Planar Array, UPA)的分析和ULA几乎相同,只不过此时阵列是二维分布的,常见于 5G Massive MIMO 天线阵列、毫米波通信等。首先假设UPA在x轴方向有Nx个阵元,在y轴方向有Ny个阵元,阵元间距分别为dx和dy。假设平面波从方向角(Φ,θ)入射/发射(其中Φ表示方位角,θ表示仰角)。则对于位于(m,n)位置的阵元(其中m=0,1,…,Nx-1;n=0,1,…,Ny-1),其相位延迟为:

因此,UPA的阵列导向矢量可以写为:

也可以表示为Kronecker积的形式(便于计算):

其中:


ULA一样,UPA的波束成形也可通过加权向量W=[w0,0,w0,1,…,wNx-1,Ny-1]T与导向矢量a(θ,Φ)的内积实现。那么在方向(θ,Φ)上的阵列响应(波束成形输出):

参考资料:https://zhuanlan.zhihu.com/p/583424603
三、德思特Vaunix LBM-7250-4 Butler Matrix
要实现波束成形,就需要一个核心部件来精确控制各天线单元的相位。在多种实现方式中,Butler Matrix作为一种经典且高效的无源波束成形网络,以其无需复杂算法、稳定可靠、即插即用的独特优势,在模拟波束成形领域占据了重要地位。它能够赋予不同输入端口与输出端口间的信号精确的相位差,从而在空间形成多个固定的、高指向性的波束。下面将展示德思特Vaunix推出的LBM-7250-4 Butler Matrix,旨在为研发与测试人员提供一款前所未有的高效工具。下图所示为LBM-7250-4 Butler Matrix的相位映射图。

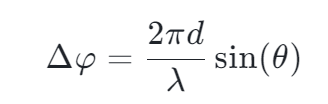
观察相位映射图可知,横向表头1,2,3,4表示LBM-7250-4的4个输出端口,纵向表头1R,2R,1L,2L表示4个输入端口,其中 “R” 和 “L” 是习惯命名,分别代表波束指向天线阵列的右侧(Right)和左侧(Left)。下面以一组简单的例子进行说明。假设从信号从端口 “1R” 输入,则4个输出端口的相对相移分别为-45°、-90°、-135°、-180°,其相位相差Δφ=45°。根据天线理论,对于ULA,相邻单元间的相位差Δφ与波束指向角θ间满足公式:

若此时相邻天线单元间隔为半波长,将相位差Δφ=45°代入,计算可得到:

因此,一个N×N的巴特勒矩阵可以产生N个波束,每个波束对应一个输入端口。
- 相关产品

• 德思特巴特勒矩阵
- 宽频率范围:2400 – 7250 MHz,覆盖了Wi-Fi、4G/5G频段等关键无线频段。 
- 多波束配置:4×4 端口(4个输入端口对应4个固定波束方向)。 
- 同步功能:多台设备可同步工作,以构建更复杂的大规模天线测试系统或ATE测试系统。 
